Добрый день народ! Столкнулись с беспределом заказчика, отклонили 7 заявок из 8ми, естественно оставили только нужную заявку.
Как считаете справедливо ли отклонили и есть ли вариант жаловаться? 
номер закупки  0153300065517000003 http://zakupki.gov.ru/epz/order/notice/ ... 5517000003
Наша заявка
			
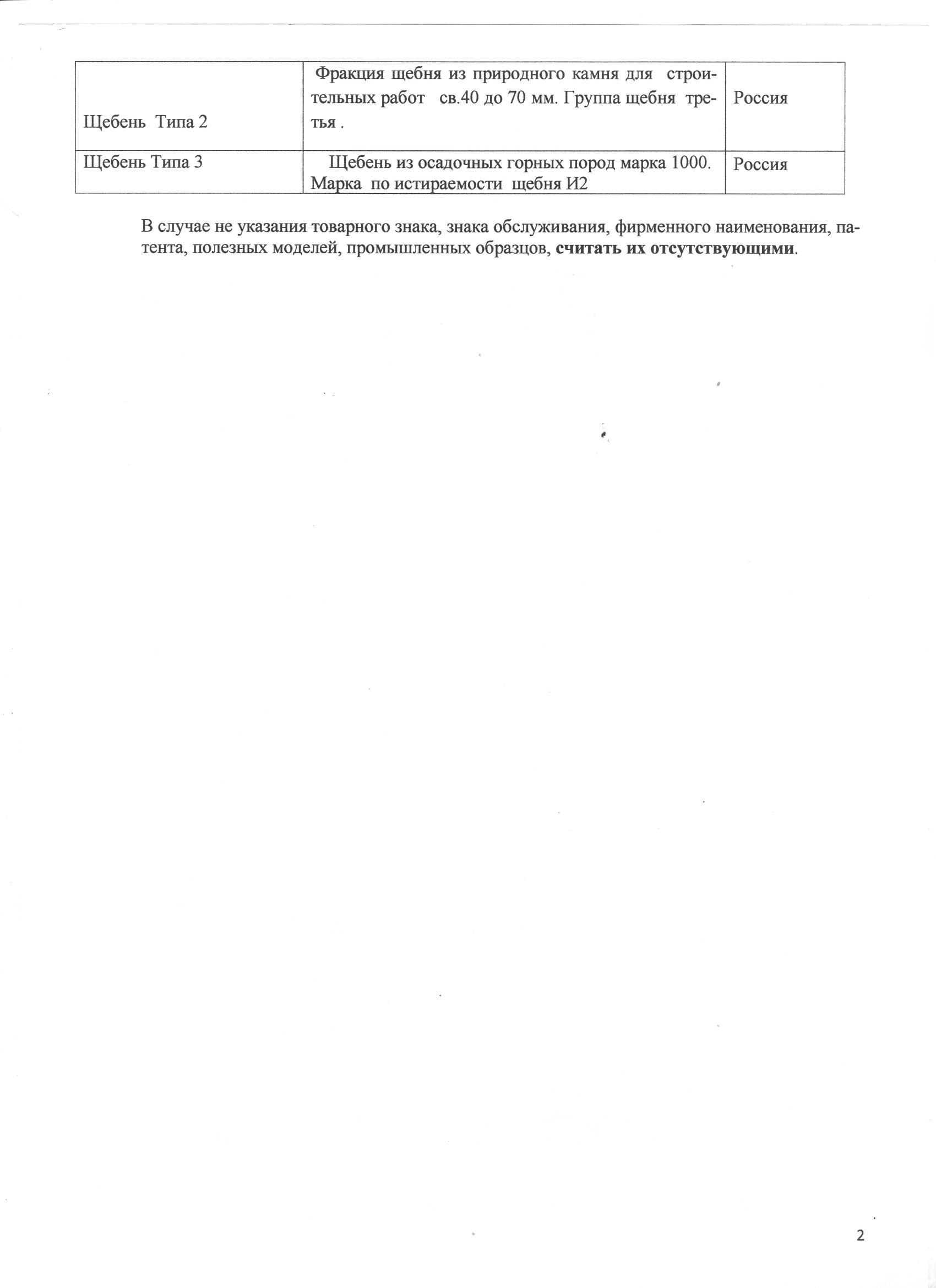
				Заполнение показателей: щебень
- 
				 
 orsk
- Новичок
- Сообщений: 2
- Зарегистрирован: 17 июн 2017, 12:23
- Благодарил (а): 0 раз.
- Поблагодарили: 0 раз.
- Роль: Прохожий
- Пункты репутации: 0 
Re: Жалобить или нет? справедливое отклонение?
Небольшая правка, из 10ти, отклонили 9ых
			
		- 
				 
 orsk
- Новичок
- Сообщений: 2
- Зарегистрирован: 17 июн 2017, 12:23
- Благодарил (а): 0 раз.
- Поблагодарили: 0 раз.
- Роль: Прохожий
- Пункты репутации: 0 
Re: Жалобить или нет? справедливое отклонение?
В ГОСТе же четко написано
а вы указываете 10-40, где он такой?
			4.2.1 Щебень и гравий выпускают в виде следующих основных фракций: от 5(3) до 10 мм; св. 10 до 15 мм; св. 10 до 20 мм; св. 15 до 20 мм; св. 20 до 40 мм; св. 40 до 80(70) мм и смеси фракций от 5(3) до 20 мм
а вы указываете 10-40, где он такой?
leksele@yahoo.com Защита от РНП. Жалобы в ФАС, иски в арбитраж, заполнение формы 2
		- 
				 
 Leksele
- Профессор
- Сообщений: 12100
- Зарегистрирован: 07 фев 2014, 16:22
- Благодарил (а): 455 раз.
- Поблагодарили: 1371 раз.
- Роль: Поставщик
Re: Жалобить или нет? справедливое отклонение?
да пусть жалуется. в ходе внеплана помашет письмом от 1 июля 2016 г. N ИА/44536/16
ОБ УСТАНОВЛЕНИИ ЗАКАЗЧИКОМ ТРЕБОВАНИЙ К СОСТАВУ, ИНСТРУКЦИИ ПО ЗАПОЛНЕНИЮ ЗАЯВКИ НА УЧАСТИЕ В ЗАКУПКЕ
в части:
и снесет еенах.
			
		ОБ УСТАНОВЛЕНИИ ЗАКАЗЧИКОМ ТРЕБОВАНИЙ К СОСТАВУ, ИНСТРУКЦИИ ПО ЗАПОЛНЕНИЮ ЗАЯВКИ НА УЧАСТИЕ В ЗАКУПКЕ
в части:
2. В случае установления заказчиком в документации, извещении о закупке требований об одновременном соответствии предлагаемых участниками показателей товара как значениям, предусмотренным Стандартом, так и значениям, указанным в документации, извещении о закупке, последние не должны противоречить требованиям Стандарта, а также не должны вводить участников закупки в заблуждение и позволять указать в заявке противоречащие положениям Стандарта показатели и (или) их значения.
Так, например, если показатель в Стандарте определен любым допустимым значением от 10 до 20 единиц, то значения, содержащиеся в документации, извещении о закупке и в отношении которых участники закупки делают свое предложение, не должны:
1) позволять участникам закупки указать в своих заявках значения, которые противоречат требованиям Стандарта, например значение - 5 единиц;
2) вводить участников закупки в заблуждение, предусматривая в документации значения, например от 10 до 30 единиц, которые впоследствии могут рассматриваться комиссией заказчика по осуществлению закупок как соответствующие значениям документации, извещения о проведении закупки, но в свою очередь противоречащие требованиям Стандарта, что повлечет отклонение заявки участника закупки.
и снесет еенах.
- 
				 
 inagro
- Профессор
- Сообщений: 2940
- Зарегистрирован: 17 апр 2014, 16:23
- Откуда: Краснодар
- Благодарил (а): 12 раз.
- Поблагодарили: 537 раз.
- Роль: Прохожий
- Пункты репутации: 295   
Re: Жалобить или нет? справедливое отклонение?
inagro писал(а):и снесет еенах.
я тож письмо не забываю, но тут все чисто...
пусть тренируется...
leksele@yahoo.com Защита от РНП. Жалобы в ФАС, иски в арбитраж, заполнение формы 2
		- 
				 
 Leksele
- Профессор
- Сообщений: 12100
- Зарегистрирован: 07 фев 2014, 16:22
- Благодарил (а): 455 раз.
- Поблагодарили: 1371 раз.
- Роль: Поставщик
Показатели щебня. Обжаловать можно?
Постоянно участвуем в аукционах по выполнению работ с поставкой щебня.
Первый раз получили отклонение по 1 части с формулировкой "предлагаемый товар не соответствует требованиям аукционной документации (по фракции щебня)"
Мы указали так как и планировали поставлять, и как в сертификате указано: "40-70 мм"
А в глубине документации было сказано что фракцию щебня нужно указывать так как заказчик указал в задании, и расписано - если в техзадании заказчиком установлено "40-70" - указывайте "40-70";
если "свыше 40 до 70 "- указывайте "свыше 40 до 70";
если "от 40 до 70" - указывайте "от 40 до 70".
Короче, в документации было "свыше 40 до 70".
Это ж вообще неконкретно.
Есть ли смысл жаловаться на отклонение?
			
		Первый раз получили отклонение по 1 части с формулировкой "предлагаемый товар не соответствует требованиям аукционной документации (по фракции щебня)"
Мы указали так как и планировали поставлять, и как в сертификате указано: "40-70 мм"
А в глубине документации было сказано что фракцию щебня нужно указывать так как заказчик указал в задании, и расписано - если в техзадании заказчиком установлено "40-70" - указывайте "40-70";
если "свыше 40 до 70 "- указывайте "свыше 40 до 70";
если "от 40 до 70" - указывайте "от 40 до 70".
Короче, в документации было "свыше 40 до 70".
Это ж вообще неконкретно.
Есть ли смысл жаловаться на отклонение?
- 
				 
 Nata15
- Посетитель
- Сообщений: 16
- Зарегистрирован: 05 фев 2015, 09:57
- Благодарил (а): 1 раз.
- Поблагодарили: 0 раз.
- Роль: Поставщик
- Пункты репутации: 0 
Re: Показатели щебня. Обжаловать можно?
легко обжалуйте
			leksele@yahoo.com Защита от РНП. Жалобы в ФАС, иски в арбитраж, заполнение формы 2
		- 
				 
 Leksele
- Профессор
- Сообщений: 12100
- Зарегистрирован: 07 фев 2014, 16:22
- Благодарил (а): 455 раз.
- Поблагодарили: 1371 раз.
- Роль: Поставщик
Re: Показатели щебня. Обжаловать можно?
Не обжалуют.
в документации - "свыше 40". по инструкции нужно было писать - "свыше", по ГОСТу - так же "свыше"..
			в документации - "свыше 40". по инструкции нужно было писать - "свыше", по ГОСТу - так же "свыше"..
www.formafas.ru
		- 
				 
 Goszakupnet
- Знаток
- Сообщений: 1288
- Зарегистрирован: 06 июн 2013, 09:00
- Откуда: Москва
- Благодарил (а): 12 раз.
- Поблагодарили: 128 раз.
- Роль: Прохожий
- Пункты репутации: 30 
Re: Показатели щебня. Обжаловать можно?
Goszakupnet писал(а):Не обжалуют.
в документации - "свыше 40". по инструкции нужно было писать - "свыше", по ГОСТу - так же "свыше"..
Улыбнуло.
Это интервал. Как указан интервал пофиг. Смысл один от 40 до 70....
остальное "шашечки"
leksele@yahoo.com Защита от РНП. Жалобы в ФАС, иски в арбитраж, заполнение формы 2
		- 
				 
 Leksele
- Профессор
- Сообщений: 12100
- Зарегистрирован: 07 фев 2014, 16:22
- Благодарил (а): 455 раз.
- Поблагодарили: 1371 раз.
- Роль: Поставщик
Re: Показатели щебня. Обжаловать можно?
Не согласен, мне кажется - "40", "от 40" и "свыше 40" - разные вещи) Плюс четкие инструкции заказчика, которые вполне соответствуют ГОСТу..
			www.formafas.ru
		- 
				 
 Goszakupnet
- Знаток
- Сообщений: 1288
- Зарегистрирован: 06 июн 2013, 09:00
- Откуда: Москва
- Благодарил (а): 12 раз.
- Поблагодарили: 128 раз.
- Роль: Прохожий
- Пункты репутации: 30 
Вернуться в Заполнение конкретных показателей
Кто сейчас на форуме
Зарегистрированные пользователи: ASGOR, Google [Bot]

